Swift-Hohenberg Equation
This applet uses a generalized Swift-Hohenberg model to illustrate some of the general principles of pattern formation. The equation used is
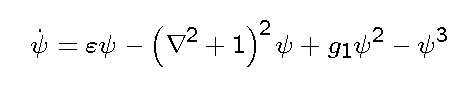
and is discussed in Section 5.6.1. In the equation &psi(x,y,t) is the pattern forming field, a function of two extended space variables x,y and time and &epsilon is the control parameter. For g1 = 0 the equation reduces to the original Swift-Hohenberg equation, see Section 5.1.
The plot shows the field &psi on a rainbow color scale with blue the minimum value and red the maximum value. These maximum and minimum values are displayed at the top of the plot. Alternatively, if Plot FFT is set to Yes the magnitude of the Fourier transform of &psi is plotted, with the origin of the wave vector at the center of the plot. Random initial conditions are used, and the evolution is reinitialized whenever Reset is hit.
Here are some suggestions for investigations you might do:
- Swift-Hohenberg equation (set g1 = 0)
- What happens for &epsilon < 0 ?
- Carefully study what happens for a small positive value of &epsilon such as &epsilon = 0.3 View both the field &psi and the Fourier transform.
- Generalized Swift-Hohenberg equation (set g1 = 1, for example)
- Investigate what happens for both negative and positive values of &epsilon. Not that the system shows hysteresis, and you should study the behavior on increasing and decreasing &epsilon as the pattern evolves.
Last modified July 5, 2009